dkds hgdf3e vcxbxk pouiopu kjhg ghdfhf scoala

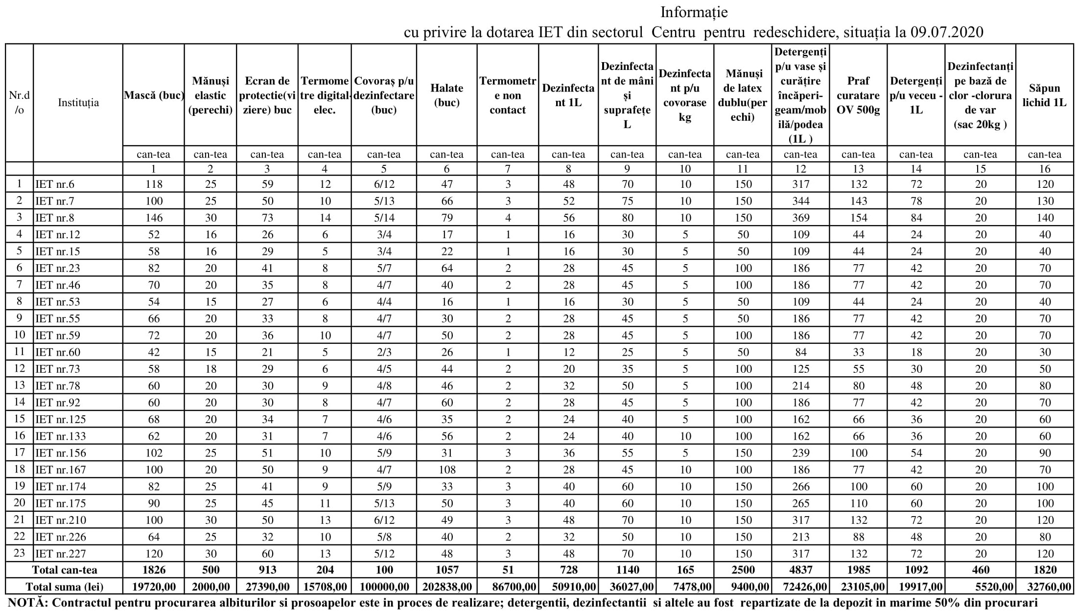
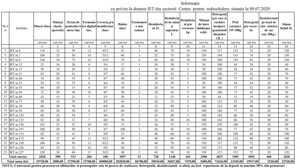
Informație pentru redeschidere IET DETS Centru